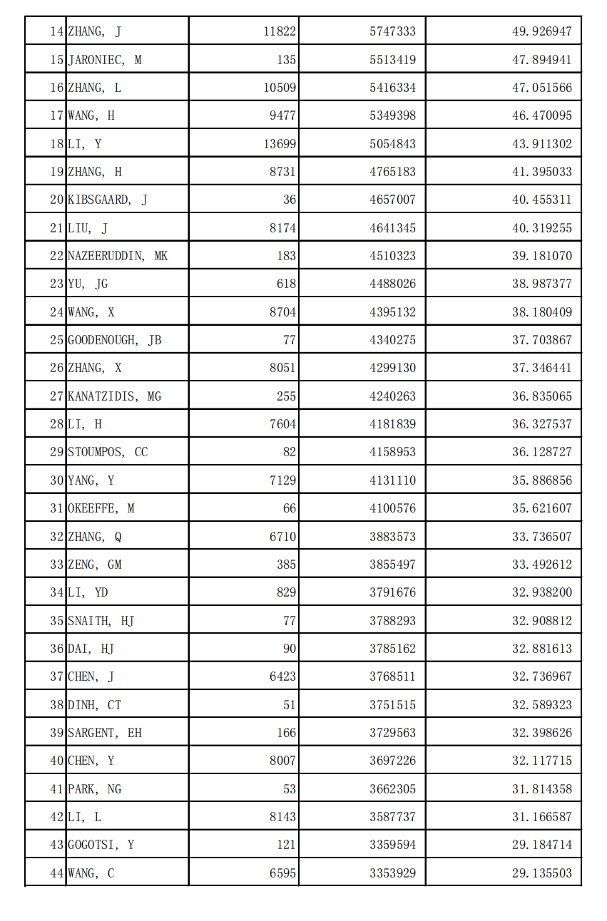
化学专业13867位世界一流科学家加权学术水平指数前20名是:JARAMILLOTF,YAGHIOM,QIAOSZ,WANGY,NORSKOVJK,LOUXW,LIJ,LIUY,ZHANGY,WANGJ,GRÄTZELM,WANGL,MACMILLANDWC,ZHANGJ,JARONIECM,ZHANGL,WANGH,LIY,ZHANGH,KIBSGAARDJ
可以看出前20名科学家中有13位中国人,中国科学家非常突出。

加权学术水平评估系统提供了一个定量的工具,加权学术水平评估系统从基本科学指标数据库(EssentialScienceIndicators)获取科学家们的ESI论文总被引次数及篇均被引,根据公式计算各位科学家的加权学术水平指数,这样能根据客观的学术数据来定量评估各位科学家的加权学术水平指数,评估效果大大好过定性评估。详情见附件。
下面是前300名的名单及评估数据,











附:加权学术水平评估系统简介

文章欢迎转载,转载时,请列明下面的作者信息。
版权声明:本站所有作品(图文、音视频)均由用户自行上传分享,仅供网友学习交流,不声明或保证其内容的正确性,如发现本站有涉嫌抄袭侵权/违法违规的内容。请举报,一经查实,本站将立刻删除。